Авторы: А.А. Камашев1, Н.Н. Гарифьянов1, А.А. Валидов1, А.С. Осин2, Я.В. Фоминов2, И.А. Гарифуллин1
1 Казанский физико-технический институт им. Е. К. Завойского, ФИЦ Казанский научный центр РАН, 420029 Казань, Россия
2 Институт теоретической физики им. Л. Д. Ландау РАН, 142432 Черноголовка, Россия
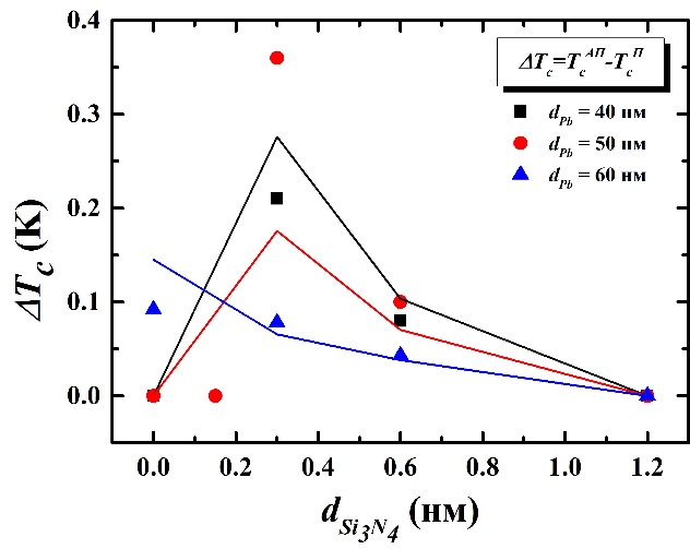
Создана и исследована новая структура сверхпроводящего спинового клапана (ССК) типа Ф1/И/C/И/Ф2 (Рис. 1). Ключевой особенностью конструкции является целенаправленная модификация границы раздела сверхпроводник/ферромагнетик (С/Ф) с помощью ультратонких диэлектрических прослоек (И), что позволяет управлять параметром прозрачности и, как следствие, эффектом близости С/Ф. Были исследованы структуры ССК Fe/Si3N4/Pb/Si3N4/Fe, где варьировалась толщина как сверхпроводящих (Pb), так и изолирующих (Si3N4) слоев. Проведенная оптимизация этих толщин позволила достичь полного переключения между нормальным и сверхпроводящим состояниями при изменении взаимной ориентации намагниченностей ферромагнитных слоев с антипараллельной на параллельную. Максимальная величина эффекта ССК составила 0.36 К (Рис. 2). Важнейшим достижением является то, что этот значительный эффект наблюдается в относительно малом внешнем магнитном поле величиной 1 кЭ, что выгодно отличает предложенную структуру от известных аналогов. Полученные результаты открывают возможности для разработки новых энергоэффективных спинтронных устройств.
| Рис. 1. Структура приготовленных образцов CoOx(3.5 нм)/Fe(3 нм)/[Si3N4/Pb/Si3N4]/Fe(3 нм)/Si₃N₄ (85 нм). Толщина слоя Pb (dPb) варьировалась от 40 до 60 нм, а толщины прилегающих слоев Si3N4 (dSi3N4) — от 0 до 1.2 нм. | Рис. 2. Зависимость величины эффекта ССК ΔTc от толщины слоев Si3N4 (dSi3N4) для трёх серий образцов. Сплошные линии – теоретические кривые, рассчитанные согласно теории Фоминова и др. для структур ССК модели Ф1/С/Ф2. |
Публикация:
A.A. Kamashev, N.N. Garif'yanov, A.A. Validov, A.S. Osin, Ya.V. Fominov, I.A. Garifullin, Superconducting spin valve effect in Fe/Si3N4/Pb/Si3N4/Fe heterostructures, Physical Review B 112, 134509, 2025, DOI: 10.1103/647c-6xj4.
- УГТ1
- Приоритетное направление НТР РФ: 4. Безопасность получения, хранения, передачи и обработки информации.
Исследования проводились в рамках выполнения грантов РНФ № 21-72-20153-П «Исследование особенностей сверхпроводимости, магнетизма и топологических эффектов в квантовых материалах» (рук. Ю.И. Таланов), РНФ № 25-72-10025 «Поиск и разработка оптимальных конструкций сверхпроводящего спинового клапана» (рук. А.А. Камашев) и государственного задания ФИЦ КазНЦ РАН «Физика функциональных материалов и гибридных мезоскопических структур для микроэлектроники, энергетики и информационных технологий» (рук. Л.Р. Тагиров).
ПФНИ: 1.3.2.3. Физика магнитных явлений, магнитные материалы и структуры, спинтроника; 1.3.2.5. Физика нано- и гетероструктур, мезоскопика; 1.3.2.7. Физика низких температур, квантовые кристаллы и жидкости.



